一、研究概述
2024-2025年,水利部先后公布了两批幸福河湖优秀案例,共计52个,覆盖了全国24个省(自治区、直辖市),涉及长江流域、黄河流域、珠江流域等主要水系,形成了可复制、可推广的宝贵经验。
本报告通过对52个幸福河湖案例的系统梳理和深度分析,从实施内容、区域特征、问题类型、设计方案等多个维度,总结幸福河湖建设的主要做法、核心经验和规律性认识,为全面推进幸福河湖建设提供参考借鉴。
二、案例基本情况
(一)数量与分布
2024年公布24个幸福河湖优秀案例,2025年公布28个,两年共计52个案例。
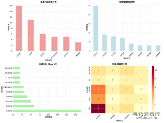
流域上长江流域最多,其次是黄河和珠江流域,重要流域问题复杂,前后对比明显;
省份上基本承接流域分布的情况,长江流域上省份案例数量最多;
西部地区案例最多,25年数量上又做了提升,体现国家西部大开发战略和生态文明建设重点。
三、实施内容分类分析
通过对52个案例进行系统分析,环境问题生态退化(30.8%)和水污染(21.2%)占比最高,主要呈现河道断流、湿地萎缩、生物多样性下降、水土流失,工业废水、生活污水、农业面源污染导致的水质恶化以及四乱问题(乱占、乱采、乱堆、乱建等四乱问题,河道被侵占)。
生态修复类措施占比最高(48.1%),体现生态优先、绿色发展理念。安全保障(17.3%)和文化景观(15.4%)紧随其后,智慧管理占比5.8%,体现数智化转型趋势。
(一)治理措施的主要类别
通过对52个案例的治理措施进行系统分析,幸福河湖建设的主要实施内容可归纳为以下八大类别:
1.生态修复(25个案例,48.1%)包括生态补水、湿地修复、植被恢复、生物多样性保护、水土保持、水源涵养等措施
2.安全保障(9个案例,17.3%)包括防洪工程建设、堤防加固、河道清淤、排涝设施、山洪灾害防治等
3.文化景观(8个案例,15.4%)包括亲水平台建设、碧道绿道、景观亮化、文化传承、旅游开发等
4.污染治理(7个案例,13.5%)包括截污纳管、雨污分流、污水处理、排污口整治、黑臭水体消除等
5.制度机制(4个案例,7.7%)包括河湖长制完善、联防联控机制、跨区域协同、部门联动等
6.空间管控(3个案例,5.8%)包括清四乱、岸线整治、违建拆除、水域岸线空间划定等
7.产业发展(3个案例,5.8%)包括水经济发展、生态旅游、特色产业、价值转化等
8.智慧管理(3个案例,5.8%)包括数字孪生、智慧水务、信息化监测、数字化管护等
(二)问题类型与治理重点
52个案例面临的主要问题可分为六大类型,不同类型的突出问题决定了治理措施的设计方向:
9.生态退化(16个案例,30.8%)河道断流、湿地萎缩、生物多样性下降、水土流失等
10.水污染(11个案例,21.2%)工业废水、生活污水、农业面源污染导致的水质恶化
11.空间侵占(6个案例,11.5%)乱占、乱采、乱堆、乱建等四乱问题,河道被侵占
12.经济发展矛盾(5个案例,9.6%)保护与开发的矛盾,生态与经济协调发展问题
13.防洪安全(5个案例,9.6%)防洪标准低、洪涝灾害频发、山洪威胁等
14.管理管护(3个案例,5.8%)管护机制不健全、监管能力不足、责任落实不到位
四、区域特征与设计方案分析
(一)西部地区(18个案例)
西部地区案例数量最多,涵盖四川、重庆、贵州、云南、西藏、新疆、宁夏、陕西等8个省(自治区、直辖市),主要涉及长江流域、黄河流域、内陆河流域等。该区域的设计方案具有以下特点:
生态修复为主:11个案例将生态修复作为首要任务,重点解决水源涵养、水土保持、生物多样性保护等问题
高原特色明显:充分考虑高原、高寒、干旱等特殊自然条件,采取适应性治理措施
民族文化融合:注重与当地民族文化相结合,如大盈江融入跨境民族文化元素
生态优先原则:严格保护生态红线,强调自然恢复为主、人工修复为辅
(二)东部沿海地区(15个案例)
东部沿海地区包括江苏、浙江、福建、山东、广东、海南等6省,主要涉及长江流域、珠江流域、东南沿海诸河、人工运河等。该区域的设计方案特点:
系统治理突出:强调水网、绿网、路网"三网融合",注重系统性、整体性治理
智慧管理领先:数字孪生、智慧水务等现代化管理手段应用最为广泛
经济价值转化:注重生态价值向经济价值转化,发展滨水经济、夜间经济
城市更新结合:与城市建设、城市更新深度融合,打造城市名片
(三)中部地区(12个案例)
中部地区包括安徽、江西、河南、湖北、湖南等5省,主要涉及长江流域、黄河流域、淮河流域。该区域的设计方案特点:
流域综合治理:强调上下游、左右岸、干支流的系统治理
防洪安全优先:重视防洪工程建设,提升流域防洪能力
农业面源治理:注重农业面源污染治理,改善农村水环境
粮食安全关联:与高标准农田建设、粮食安全相结合
(四)华北京津冀地区(4个案例)
华北京津冀地区包括北京、河北等省市,主要涉及海河流域。该区域的设计方案特点:
协同发展:注重京津冀协同发展,建立联防联控机制
城市品质提升:将河湖治理与城市品质提升、国际交往中心建设相结合
夜游经济:发展夜间经济、滨水商业,打造城市活力空间
标准规范:建立健全标准规范体系,引领全国幸福河湖建设
(五)东北地区(3个案例)
东北地区包括辽宁、黑龙江等2省,主要涉及辽河流域、松花江流域。该区域的设计方案特点:
黑土地保护:注重黑土地保护和水土保持
生态旅游:发展冰雪旅游、生态旅游,释放生态红利
数字化管护:数字孪生平台应用较为普遍
产业融合:将河湖治理与产业发展、乡村振兴紧密结合
五、典型案例深度分析
(一)生态修复类:福建木兰溪
【案例背景】
木兰溪是莆田人民的母亲河,历史上水患频发,水资源时空分布不均,水环境承载压力大。25年来,莆田市坚持"四水四定"原则,以木兰溪综合治理统揽高质量发展。
【创新做法】
多元共治体系:创建"党政双河长带头治、人大政协联动督、纪检监察专项巡、民间力量合力护"的多元护河体系
智慧监管平台:构建"岸查、天巡、点测、网管"监控体系,每年线上流转问题约2万个
五道防线:建立生态保护、治理、修复、法治、科技"五道防线"
五带建设:一体推进沿河生态带、文化带、健康带、产业带、创新带建设
【显著成效】
2023年流域国省控断面水质优良比例100%
绿色经济占地区生产总值比重达56.9%
水上巴士62.2公里,绿色廊道20公里
获评全国首批示范河湖、"两山"实践创新基地
(二)城市更新类:北京亮马河
【案例背景】
亮马河位于北京市朝阳区,是城市内河。治理前水质为Ⅳ类,滨河空间不连通,功能单一。
【创新做法】
"五水"联治:治污水、禁地下水、用再生水、蓄雨水、抓节水
"三网"融合:水网、绿网、路网深度融合
六大工程:河流整治、慢行连通、桥梁改造、景观亮化、河湖贯通、旅游通航
"四首"经济:发展首店、首牌、首秀、首发经济
【显著成效】
水质提升至Ⅲ类以上,鱼类27种
18公里高品质滨水绿道全线贯通
入选首批国家级夜间文化和旅游消费集聚区
成为北京国际交往的新名片
(三)智慧管理类:浙江灵山港
【案例背景】
灵山港是浙江省典型的山区性河流,面临防洪排涝能力薄弱、管护能力落后等问题。
【创新做法】
数字孪生系统:构建"天、空、地、人"一体化感知体系
区域联防联控:建立龙游、遂昌跨市域联动机制
山区性河流幸福河湖指数:形成量化评价指标体系
十五分钟亲水圈:打造179处亲水节点,覆盖率89.1%
【显著成效】
防洪达标率从80%提升至100%
出境水质从III类提高到II类
2023年吸引游客约280万人次,旅游收入约27亿元
幸福河湖成效评估位列全国第一
六、经验总结与规律性认识
(一)六大核心经验
1.坚持人民至上,满足群众需求
所有案例都坚持以人民为中心,将提升人民群众的获得感、幸福感、安全感作为根本目标。通过建设亲水平台、滨水绿道、休闲空间等,让群众真正享受到生态红利。
2.坚持系统治理,注重整体效果
统筹山水林田湖草沙一体化保护和系统治理,注重流域整体性和系统性。从单一河道治理向流域综合治理转变,从分段治理向全域治理转变。
3.坚持因地制宜,突出区域特色
根据不同区域的自然条件、经济社会发展水平、文化特色,制定差异化治理方案。东部注重经济价值转化,西部强调生态保护修复,中部重视防洪安全。
4.坚持创新驱动,提升治理效能
广泛应用数字孪生、智慧水务等现代技术手段,建立智慧化管护体系。创新河湖长制工作机制,建立跨区域联防联控机制。
5.坚持生态优先,推动绿色发展
将生态修复作为首要任务,优先保护生态红线,强调自然恢复为主。积极探索生态产品价值实现路径,推动"绿水青山"向"金山银山"转化。
6.坚持文化传承,彰显文化魅力
深入挖掘河湖沿线的历史文化、民俗特色,将水文化融入治理全过程。通过建设水文化公园、水利遗产保护等方式,留住乡愁记忆。
(二)四大规律性认识
1.问题导向决定治理方向
不同区域、不同类型的河湖面临的主要问题各不相同,治理方案必须因地制宜、因河施策。生态退化问题突出的,以生态修复为主;水污染严重的,以污染治理为重;防洪能力不足的,以安全保障为先。
2.区域特征决定治理模式
东部沿海地区经济发达、人口密集,治理模式注重与城市更新、经济发展相结合;西部地区生态脆弱、经济欠发达,治理模式注重生态保护、脱贫攻坚相统筹;中部地区农业为主、粮食安全重要,治理模式注重农业面源治理、高标准农田建设相衔接。
3.发展阶段决定治理重点
处于工业化中后期的地区,治理重点是污染治理和生态修复;处于城镇化快速发展期的地区,治理重点是防洪安全和空间管控;处于生态文明示范期的地区,治理重点是价值转化和文化建设。
4.资源禀赋决定治理路径
水资源丰富的地区,注重水景观打造、水文化挖掘;水资源短缺的地区,注重节水优先、再生水利用;水生态脆弱的地区,注重水源涵养、水土保持。
七、结语
通过对52个优秀案例的系统分析,我们看到,幸福河湖建设已经形成了较为成熟的做法和经验,在保障防洪安全、改善水生态环境、提升群众生活品质、促进区域高质量发展等方面取得了显著成效。
但也要清醒认识到,幸福河湖,还存在发展不平衡、资金投入不足、长效机制不健全等问题。需要进一步完善顶层设计、加大资金投入、强化科技支撑、健全长效机制,推动幸福河湖建设向纵深发展。







精彩评论文明上网理性发言,请遵守评论服务协议
共0条评论